Trapped alkali-metal Rydberg qubit
Phys. Rev. Lett. 128, 123601 (2022)
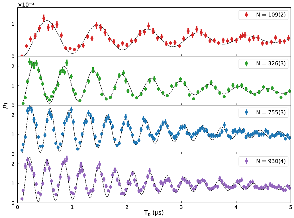
Collective qubits between atomic ground and Rydberg states can be converted, on-demand, into single photons, making them well-suited for scalable quantum network-type protocols. We demonstrate a collective alkali-metal Rydberg qubit held in a state-insensitive optical lattice trap, in which the lifetime of the ground-Rydberg-state coherence is increased to 30 𝜇𝑠, an order of magnitude improvement over previous experiments using freely diffusing atoms. We observe many-body Rabi oscillations with the collective Rabi frequency enhanced by a factor of √N, and obtain 12 fast Rabi oscillations within 6 𝜇𝑠 and 8 Rabi oscillations within 10 𝜇𝑠. Multi-particle entanglement of the 𝑊-state within our ensemble is determined, verifying that at most one excitation blockade sites exist. We also measure the Ramsey interferometry with the dressing field, confirming no relative collective light shift between the two levels. These results provide new evidence that collective Rydberg qubits can be used to create high-fidelity photon-photon gates, deterministic single photons, and multiple qubits for scalable quantum networking.
Collective qubits between atomic ground and Rydberg states can be converted, on-demand, into single photons, making them well-suited for scalable quantum network-type protocols. We demonstrate a collective alkali-metal Rydberg qubit held in a state-insensitive optical lattice trap, in which the lifetime of the ground-Rydberg-state coherence is increased to 30 𝜇𝑠, an order of magnitude improvement over previous experiments using freely diffusing atoms. We observe many-body Rabi oscillations with the collective Rabi frequency enhanced by a factor of √N, and obtain 12 fast Rabi oscillations within 6 𝜇𝑠 and 8 Rabi oscillations within 10 𝜇𝑠. Multi-particle entanglement of the 𝑊-state within our ensemble is determined, verifying that at most one excitation blockade sites exist. We also measure the Ramsey interferometry with the dressing field, confirming no relative collective light shift between the two levels. These results provide new evidence that collective Rydberg qubits can be used to create high-fidelity photon-photon gates, deterministic single photons, and multiple qubits for scalable quantum networking.
Interaction-induced dephasing dynamics
Phys. Rev. A 106, L051701 (2022)
The Rydberg interaction-induced dephasing of collective atomic states is often the dominant contribution to the entanglement generation process in atomic ensembles. Although the mechanism has been widely used, its dynamics have not been previously observed while its results have sometimes been instead ascribed to the action of the excitation blockade. Here we report a study of the temporal evolution of an initially unentangled Rydberg spin-wave into an entangled Dicke state. By comparing our observations to the results of numerical simulations, we elucidate how interaction-induced dephasing is responsible for entanglement generation in many-atom settings. These results have relevance to broad classes of applications for collective atomic systems, including driving of collective atomic qubits, on-demand generation of single photons, and preparation of entangled states involving atoms or light.
The Rydberg interaction-induced dephasing of collective atomic states is often the dominant contribution to the entanglement generation process in atomic ensembles. Although the mechanism has been widely used, its dynamics have not been previously observed while its results have sometimes been instead ascribed to the action of the excitation blockade. Here we report a study of the temporal evolution of an initially unentangled Rydberg spin-wave into an entangled Dicke state. By comparing our observations to the results of numerical simulations, we elucidate how interaction-induced dephasing is responsible for entanglement generation in many-atom settings. These results have relevance to broad classes of applications for collective atomic systems, including driving of collective atomic qubits, on-demand generation of single photons, and preparation of entangled states involving atoms or light.
Quantum information using optical microtraps
Ongoing (2022)
Phase matching refers to a process in which atom-field interactions lead to the creation of an output field that propagates coherently through the interaction volume. By confining cold 87Rb single atoms in an array formed by holographic optical microtraps, we observe the phase-matched scattering that occurs when changing the dimensionality of the system. Such scattering can be used for mapping collective states within an array of neutral atoms onto propagating light fields and for establishing quantum links between separated arrays. We will further investigate the radiative profiles using EMCCD by exciting these atoms to Rydberg levels to study the collective emissions.
Phase matching refers to a process in which atom-field interactions lead to the creation of an output field that propagates coherently through the interaction volume. By confining cold 87Rb single atoms in an array formed by holographic optical microtraps, we observe the phase-matched scattering that occurs when changing the dimensionality of the system. Such scattering can be used for mapping collective states within an array of neutral atoms onto propagating light fields and for establishing quantum links between separated arrays. We will further investigate the radiative profiles using EMCCD by exciting these atoms to Rydberg levels to study the collective emissions.