Nordic Skiing
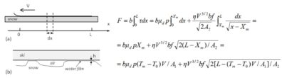
Dr. Matveev is a nordic skiing enthusiast. Besides skiing (or imitating skiing) in both summer and winter, he also developed an analytical model for ski friction.


Dr. Matveev is a nordic skiing enthusiast. Besides skiing (or imitating skiing) in both summer and winter, he also developed an analytical model for ski friction.

