Skip to main content Skip to navigation
School of Mechanical and Materials Engineering Modeling, Motion, and Medical Robotics Laboratory (M3 Robotics Lab)

Fan’s Paper on Predictive Model for Stylet-and-Tube Steerable Needles is Accepted for a Presentation at IROS 2020

Fan’s Paper entitled “Resultant Radius of Curvature of Stylet-and-Tube Steerable Needles” is accepted for an oral presentation at International Conference on Intelligent Robots and Systems (IROS) 2020.

steerable needles
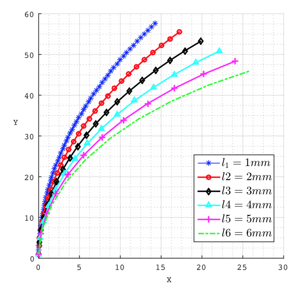
Stylet-and-Tube Steerable Needles. The combined radius of curvature is dependent on step length, preset radius of the wire, tissue mechanical properties, and tube & wire mechanical properties.

The abstract of this paper is as follows:

Steerable needles have been widely researched in recent years, and they have multiple potential roles in the medical area.

The flexibility and capability of avoiding obstacles allow the steerable needles to be applied in the biopsy, drug delivery and other medical applications that require a high degree of freedom and control accuracy.

Radius of Curvature (ROC) of the needle while inserting in the soft tissue is an important parameter for evaluation of the efficacy, and steerability of these flexible needles.

For our Fracture-directed Stylet-and-Tube Steerable Needles, it is important to find a relationship among the resultant insertion ROC, pre-set wire shape and the Young’s Modulus of soft tissue to characterize this class of steerable needles.

In this paper, an approach is provided for obtaining resultant ROC using stylet and tissue mechanical properties. A finite element analysis is also conducted to support the reliability of the model. This work sets the foundation for other researchers to predict the insertion ROC based on the mechanical properties of the needle, and the soft tissue that is being inserted.

This year’s conference will be held on October 25-29, 2020 at Las Vegas, NV, USA.

Here is a video of the Fracture-directed Stylet-and-Tube Steerable Needles:

Mahdieh and Fan Defended Their Theses on Fracture-directed Steerable Needles

On Wednesday July 22nd, Mahdieh Babaiasl has successfully defended her PhD thesis entitled “Waterjet Fracture-directed Steerable Needles“.Mahdieh Babaiasl Announcement

mahdieh babaiasl defence
Mahdieh Babaiasl successfully defended her PhD thesis on Steerable Needles

The abstract of the thesis as follows:

Robotic needle steering is a proposed method in the literature for controlling long flexible needles through curved paths in the soft tissue. Needle steering is proven to be effective in correction of insertion errors, steering around obstacles to reach the targets unreachable through conventional methods, and reaching to multiple targets from a single insertion.

In spite of their many advantages and potential applications, they are limited by a number of factors. First off, they have constant curvatures and the attainable radius of curvature is a function of the needle and soft tissue parameters. Buckling is another issue that happens when the needle goes through structures and tissues that it cannot penetrate. This imposes a large force at the base of the needle and causes it to buckle.

The use of the waterjet in medical applications has been developed more recently and it is used for different applications such as soft tissue resection, bone cutting, wound debridement, and surgery. Because of the many advantages that the waterjet provides like selective cutting of the tissue layers in which the tissue layers can cut deliberately by controlling the pressure of the waterjet, it is an appealing technique for surgery instead of knife.

From the marriage between conventional steerable needles and the waterjet technology, waterjet steerable needles is born. In this technique, the direction of the fracture is controlled by high velocity waterjet and then the flexible needle follows the fractured path. This process continues until the needle can be steered in the soft tissue. Waterjet steerable needles resemble “drilling” in the sub-millimeter scale which has been proven to have superior advantages to conventional steerable needles.

Our results showed that cutting the tissue with the waterjet can eliminate the cutting force and thus reduces the force at the base of the needle resulting in reduced buckling. Moreover, waterjet steerable needles showed the possibility of smaller radius of curvature with reduced tissue damage. Waterjet steerable needles promise tissue-agnostic steering in which the needle can be chosen to have a low bending stiffness (because the waterjet does the cutting) to obtain super small radii of curvature.

 

On July 27th, Fan Yang, another doctorate student successfully defended his PhD thesis entitled “Fracture-directed Steerable Needles”.

Fan Yang final doctoral exam announcement

The abstract of his dissertation is as follows:

Steerable needles have been widely researched for many years. Since they have the availability to steer to a target point avoiding obstacles and correcting themselves for disturbances, they have great potential to improve the accuracy of both therapies and biopsies.

However, the ability to make late-insertion corrections was limited by the attainable insertion radius of curvature. This dissertation describes the design and modeling of a new class of steerable needles, the insertion process is to first control the direction of the tissue fracture with an inner nitinol wire and then follow with a hollow nitinol tube.

This insertion approach has the capability to achieve a 6.9 mm insertion radius of curvature inside soft tissue phantoms with only 128Kpa Young’s Modulus, and the radius of curvature is controllable from the lower limit up to a near-infinite insertion radius of curvature based on the tissue properties and needle step length.

A comprehensive predictive model was developed based on experimental data to predict the insertion radius of curvature across a wide range of tissue stiffnesses and a complete finite element analysis model was conducted to validate it.

A variety of inner stylet geometries are investigated using tissue phantoms with multiple stiffnesses, and discrete-step kinematic models of motion are derived heuristically from the experiments.

A RG-RRT path planning algorithm and a straight-curve- straight heuristic path planning algorithm were developed to steer the needle in 2D or 3D space with obstacles.

Both of them have the capability to conduct closed-loop re-planning based on real-time visual feedback. This steerable needles research was motivated by reducing insertion radius, improving insertion accuracy, and ameliorate the clinical outcome.

 

Fracture-directed Waterjet Needle Steering: Design, Modeling, and Path Planning Accepted for Proceedings of BioRob 2020

Our paper on fracture-directed waterjet needle steering is accepted to be presented at BioRob 2020 and also to be published in IEEE.

The contributors of this paper are Mahdieh Babaiasl, Stefano Bocelli, and Fan Yang under the supervision of Dr. John Swensen.

The abstract of this paper is:

Steerable needle technology has the promise of improving outcomes by enhancing the accuracy of different therapies and biopsies, as they can be steered to a target location around obstacles.

Achieving small radius of curvature and being able to control both radius of curvature and tip travel are of paramount importance in steerable needles to accomplish the increase in efficacy of the medical procedures.

In this paper, we present a new class of the steerable needles, which we call waterjet-directed steerable needles, where the underlying principle is to first control the direction of tissue fracture with waterjet, after which the needle will follow during subsequent insertion.

In this paper, the direction of the tissue fracture is controlled by an angled waterjet nozzle and control of the water velocity, and then the flexible Nitinol needle follows.

It is shown that by changing the velocity of waterjet and thus depth of cut, radius of curvature can be controlled.

A discrete-step kinematic model is used to model the motion of the waterjet steerable needle. This model consist of two parts: (1) the mechanics- based model predicts the cut-depth of waterjet in soft tissue based on soft tissue properties, waterjet diameter, and water exit velocity, and (2) a discrete-step kinematic unicycle model of the steerable needle travel.

Path planning is accomplished through a genetic algorithm, and the efficacy of waterjet steerable needle is tested for different paths.

The key finding of the paper is that the radius of curvature of the waterjet steerable needle can be controlled by a fixed waterjet tip angle and varying water exit velocity to control the depth of cut.

experimental_setup_waterjet steerable needle
Experimental Setup of Waterjet Steerable Needle System

You can see the full article on waterjet steerable needle system design, modeling, and path planning HERE!

 

Video below shows the difference between Waterjet Needle and Traditional Needle: 

Video below shows the concept of waterjet needle steering:

Duty Cycling of Waterjet Can Improve Steerability and Radius-of-Curvature (ROC) for Waterjet Steerable Needles Accepted for Proceedings of ISMR 2020

Our paper on curvature control of waterjet steerable needles is accepted to be presented at ISMR 2020 and also to be published in IEEE.

The contributors of this paper are Mahdieh Babaiasl, and Fan Yang under the supervision of Dr. John Swensen.

The abstract of this paper is:

Steerable needles are a type of medical devices that can steer around obstacles to reach to a target location and thus can improve the accuracy of medical procedures.

Radius-of-Curvature (ROC) is of paramount importance while designing steerable needles and achieving smaller radius and being able to control it is very important in evaluating the efficacy of the steerable needles.

In this paper, the idea of a new class of steerable needle technology namely fracture- directed waterjet steerable needles is presented in which the direction of the tissue fracture is controlled by waterjet and then Nitinol tube follows.

Needle steering tests are performed on two different stiffnesses of SEBS soft tissue simulants, as well as 10% by weight Knox Gelatin (Kraft Foods Global Inc., IL) as substitutes to real biological tissues.

Curvature of the needle is controlled by waterjet duty cycling and it is shown that it can be controlled from about 0 (when waterjet is OFF at all steps) to maximum curvature (when waterjet is ON for all steps).

It is concluded that the curvature is a linear function of the duty cycling and that the smallest ROC of the waterjet steerable needle (when waterjet is ON at all steps) is improved in comparison to the smallest ROC of traditional steerable needles in the same tissue phantom.

waterjet steerable needles
Duty cycling of waterjet can control the curvature of the waterjet steerable needles.

You can see the full article on waterjet steerable needle curvature control HERE!

 

Video below shows the difference between Waterjet Needle and Traditional Needle:

Video below shows the concept of waterjet needle steering:

 

Measuring the Insertion Forces of the Waterjet Needle System

Our paper entitled “Towards Waterjet Steerable Needles” that was presented at BioRob 2018 measured the waterjet needle’s insertion forces and compared them with a traditional needle with no waterjet running through. It is shown that incorporating waterjet reduces the insertion force and thus buckling of the needle.

The contributors for this project are Mahdieh Babaiasl, and Fan Yang under the supervision of Dr. John P. Swensen.

Abstract of the Paper Towards Waterjet Steerable Needles

Water-jet technology has been used extensively for decades industrially for many applications including mining, plastic, metal, stone, wood, and produce cutting. The use of water-jet in medical applications has been developed more recently and it is used for different applications such as soft tissue resection, bone cutting, wound debridement, and surgery. In this paper, a new application of water-jet technology in the medical field is proposed, namely water-jet cutting at the tip of a needle with a long-term goal of steerable needles. A needle insertion system is designed and built, which has a custom-designed water-jet nozzle attached to a Nitinol needle as its ”needle”. Insertions with and without water-jet into 10%, 15% and 20% Poly (styrene-b-ethylene-co-butylene-b-styrene) triblock copolymer (SEBS) tissue-mimicking simulants are performed and the associated force data is measured using a force sensor at the base of the needle. The results of force vs. displacement show that the water-jet reduces the insertion force associated with traditional needles by eliminating tip forces. In this paper, a custom-designed straight nozzle is used to show the feasibility of water-jet steerable needles, whereas future work will focus on steerability using steerable nozzles. Depth of cut as a function of fluid velocity is also measured for different volumetric flow rates. The results show that depth of cut is a linear function of fluid velocity when the width of the water-jet nozzle is sufficiently small and smooth.

waterjet needle
Schematic of forces acting on the needle passing through the tissue for: (a) the no water-jet case with a traditional needle and (b) using water-jet cutting. (c) In the case of waterjet (blue schematic), the tip forces are eliminated, and only friction along the shaft of the needle exists (it is even expected to be lower than friction due to lubrication provided by water).

You can see the full article on waterjet needle HERE!

The experimental force data along with codes to run the data are uploaded to Mendeley Data in order for other researchers to use them for their own research purposes is available at:

http://dx.doi.org/10.17632/dzhg3d69mb.1

Video below shows the difference between Waterjet Needle and Traditional Needle:

 

 

 

Fracture-Directed Steerable Needles

Our paper entitled “Fracture-Directed Steerable Needles” is published in the Journal of Medical Robotics Research.

The authors of this manuscript are Fan Yang, Mahdieh Babaiasl, and John Swensen.

Abstract

Steerable needles hold the promise of improving the accuracy of both therapies and biopsies as they are able to steer to a target location around obstructions, correct for disturbances, and account for movement of internal organs. However, their ability to make late-insertion corrections has always been limited by the lower bound on the attainable radius of curvature. This project involves a new class of steerable needle insertion where the objective is to first control the direction of tissue fracture with an inner stylet and later follow with the hollow needle. This method is shown to be able to achieve radius of curvature as low as 6.9 mm across a range of tissue stiffnesses and the radius of curvature is controllable from the lower bound up to a near infinite radius of curvature based on the stylet/needle step size. The approach of “fracture-directed” steerable needles indicates the promise of the technique for providing a tissue-agnostic method of achieving high steerability that can account for variability in tissues during a typical procedure and achieve radii of curvature unattainable through current bevel-tipped techniques. A variety of inner stylet geometries are investigated using tissue phantoms with multiple stiffnesses and discrete-step kinematic models of motion are derived heuristically from the experiments. The key finding presented is that it is the geometry of the stylet and the tuning of the bending stiffnesses of both the stylet and the tube, relative to the stiffness of the tissue, that allow for such small radius of curvature even in very soft tissues.

Read a full pre-publication version of the paper HERE!

You can also find the MATLAB code for the kinematic model of the steerable needle based on Lie Groups and Lie Algebra HERE! The output of the code is as follows:

 

Steerable-needle-kinematic-model-lie-groups-1024x995
Kinematic Model of the Fracture-directed Steerable Needles

An overlay of the reality (experiments) with the simulation is depicted in the following photo:

fracture-directed-steerable-needles-model-experiment
An overlay of the reality (experiments) with the kinematic model for Fracture-directed Steerable Needles

Watch a short video of the Stylet and Tube Fracture-directed Steerable Needles Below:

 

 

 

 

Our New Paper Entitled “Predictive mechanics-based model for depth of cut (DOC) of waterjet in soft tissue for waterjet-assisted medical applications” Is Now Online

Our new paper entitled “Predictive mechanics-based model for depth-of-cut (DOC) of waterjet in soft tissue for waterjet-assisted medical applications” is recently accepted to be published in Medical & Biological Engineering & Computing journal and is now online at the following address: Click HERE!

This paper solves the fundamental physics problem of the interaction of the waterjet with the surrounding soft tissue for waterjet-assisted cutting in medical and surgical applications.

Mahdieh Babaiasl, Stefano Bocelli, Yao Chen, and Fan Yang conducted this research under the supervision of Dr. John P. Swensen, and Dr. Jow-Lian Ding

waterjet cut depth definition Watch a short video of the experiments below:

 

The abstract of the paper is as follows:

Abstract:

The use of waterjet technology is now prevalent in medical applications including surgery, soft tissue resection, bone cutting, waterjet steerable needles, and wound debridement. The depth of the cut (DOC) of a waterjet in soft tissue is an important parameter that should be predicted in these applications. For instance, for waterjet-assisted surgery, selective cutting of tissue layers is a must to avoid damage to deeper tissue layers. For our proposed fracture-directed waterjet steerable needles, predicting the cut depth of the waterjet in soft tissue is important to develop an accurate motion model, as well as control algorithms for this class of steerable needles. To date, most of the proposed models are only valid in the conditions of the experiments and if the soft tissue or the system properties change, the models will become invalid. The model proposed in this paper is formulated to allow for variation in parameters related to both the waterjet geometry and the tissue. In this paper, first the cut depths of waterjet in soft tissue simulants are measured experimentally, and the effect of tissue stiffness, waterjet velocity, and nozzle diameter are studied on DOC. Then, a model based on the properties of the tissue and the waterjet is proposed to predict the DOC of waterjet in soft tissue. In order to verify the model, soft tissue properties (constitutive response and fracture toughness) are measured using low strain rate compression tests, Split-Hopkinson-Pressure-Bar (SHPB) tests, and fracture toughness tests. The results show that the proposed model can predict the DOC of waterjet in soft tissue with acceptable accuracy if the tissue and waterjet properties are known.

Full Pre-publication Article:

You can also see the accepted pre-publication article written in LaTex HERE!

 

Experimental Data, Model, and Necessary Codes:

Below are the experimental data, model, and necessary codes to run them. Feel free to use them in your research with proper citations to our work.

The penetration pressure of the waterjet in soft tissue is found to be: In order to understand what each parameter mean please refer to the article. We found out that the penetration occurs when P_w is minimum. Now the question is we want to find a d/D that minimizes P_w. In order to do so, the following MATLAB code is written: Click HERE!

Depth-Of-Cut (DOC) experimental data

For Depth-Of-Cut (DOC) experimental data along with a MATLAB code to run them click HERE!

Image Processing Code:

Note that CalibrationDistance.m code measures the depth of cut by image processing from the photos. First, you should select the area of interest and then calibrate the distance using the rulers on the photo and then measure the depth of cut. Here are the steps to measure the distance in any photo:

Step 1. Select the area of interest and do the Spatial Calibration by choosing say 10 mm on the ruler: Step 2: After calibration, select Measure Distance from the menu and then select the area of interest that you want to measure: The result will be the measured distance in mm:

Depth of Cut Mechanics-based Model Code:

You can find the code for the model proposed in the paper HERE!

Mendeley Links to Cite Our Data if You Want to Use Them in Your Research:

If you want to use the data and need to cite our work here are the links:

https://data.mendeley.com/datasets/zvdrpzmkcb/2

For Static Compression Tests, and Split-Hopkinson Pressure Bar SHPB tests on SEBS Soft Tissue Simulants, you can find the data in the following links:

https://data.mendeley.com/datasets/msvjxfh7nh/1

https://data.mendeley.com/datasets/gswfx544cs/3

Below is a short video of Trouser Tear Test to Find Mode I Fracture Toughness:

Short Video below shows the difference between a conventional needle and a waterjet needle:   

Please do not hesitate to contact us if you need any questions of suggestions. 

Mahdieh Babaiasl‘ email address is mahdieh.babaiasl[at]wsu.edu. You can also see more of her research at the following links:

ResearchGate, Academia, Google Scholar Citations, Facebook, YouTube, Twitter, Website, and LinkedIn.

Waterjet Steerable Needles’ Abstract Published in WSU’s Website

Our abstract entitled “WATERJET STEERABLE NEEDLES: A NEW PROMISE FOR IMPROVING MEDICAL PROCEDURES” about waterjet steerable needles is accepted for WSU’s this year Academic Showcase but the actual event is not held because of the outbreak of the COVID-19.

Mahdieh Babaiasl, and Fan Yang are presenters of this abstract under the supervision of Dr. John Swensen.

Abstract

Steerable needles are a type of medical devices that can steer around obstacles to reach to a target location within patient anatomy and thus can improve the accuracy of medical procedures. Radius of curvature is an important parameter while designing steerable needles and achieving smaller radius and being able to control it is of paramount importance in steerable needle technology. We have developed a new class of steerable needles namely fracture-directed waterjet steerable needles in which the direction of the tissue fracture is controlled by waterjet and then the flexible needle follows. Needle steering tests are performed on soft tissue simulants, and the Radius of curvature of the needle is controlled by duty cycling of waterjet whereas 100% percent duty (waterjet is ON in all steps) gives the best radius of curvature. Smaller radius of curvature makes steering around tight obstacles possible and improves the performance of steerable needles. It is shown that the radius of curvature is a linear function of duty cycling for a range of the tissue stiffnesses used. A discrete-step kinematic model is used to model the motion of the waterjet steerable needle. This model consists of two parts: (1) the mechanics-based model predicts the cut-depth of waterjet in soft tissue based on soft tissue properties, waterjet diameter, and water exit velocity, and (2) a discrete-step kinematic unicycle model of the steerable needle travel. The proposed method of needle steering promises steerability and radius of curvature unattainable by current steerable needle technologies.

 

Following are some photos from last year’s Showcase:

 

mahdieh babaiasl

Outreach event hosted by M3 robotics Robotics Lab

An outreach event arranged by The Graduate and Professional Student Association (GPSA) is hosted by M3 robotics Lab on March 2020.

In this event, kids are become familiarized with research going on in our lab such as steerable needles, soft robotics and Shape Memory Alloys (SMAs). They had the chance to do their own experiment with a worm made of Shape Memory Alloy.

M3 robotics lab is directed by Prof. John P. Swensen, and graduate students Mahdieh Babaiasl, Fan Yang, Emily Allen, Lee Taylor, and Benjamin Saunders are working on different projects related to soft robotics and medical robotics.

Enjoy some of the photos and videos of the event:

 

outreach march outreach march outreach march

 

Our Paper is accepted to be published at BioRob 2020!

New Paper is accepted to be presented at BioRob 2020!

 

So excited to share the good news that our paper entitled “Fracture-directed Waterjet Needle Steering: Design, Modeling, and Path Planning ” is accepted to be published in the Proceedings of IEEE Biomedical Robotics & Biomechatronics (BioRob 2020) conference.

Graduate Students Mahdieh Babaiasl and Fan Yang contributed to this paper under the supervision of Dr. John Swensen.